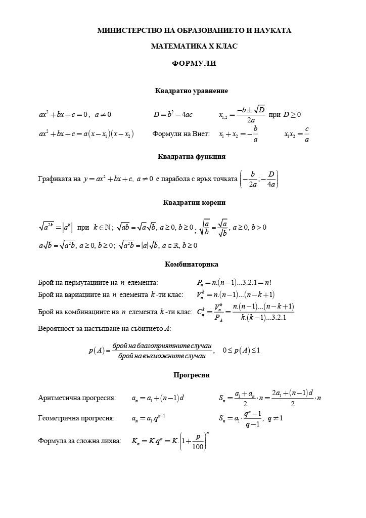
Формули, позволени за ползване по време на изпита НВО – математика след десети клас:
Виж формулите в .pdf: formuli-matematika-10-klas-NVO
Формат за провеждане на изпита:
Виж в .pdf: formuli-matematika-10-klas-NVO
НВО 2024:
НВО 2023:
Формули, позволени за ползване по време на изпита НВО – математика след десети клас:
Виж формулите в .pdf: formuli-matematika-10-klas-NVO
Формат за провеждане на изпита:
Виж в .pdf: formuli-matematika-10-klas-NVO
НВО 2024:
НВО 2023: