Как да изберем най-доброто училище до 7-ми клас? Един от начините е да разберем как се справят неговите ученици на страшните НВО матури.
В тази таблица сме систематизирали резултатите на учениците по математика и БЕЛ, обединени и осреднени.
Подредбата показва ясно най-добрите и най-лошите училища.
Поздравления за колегите и учениците от СМГ!
Изводите оставяме на вас, с една бележка: имайте предвид, че резултатите там, където са се явили по-малко от 25 ученика могат силно да варират: така училища с малко ученици са напред, но това не е гаранция за добри общи резултати. Нямаме данни за неявилите се ученици. (Ако на всички неявили можем да пишем '2', резултатите вероятно щяха да са различни за някои от частните училища.)
/натиснете ctr+F за търсене в таблицата/
| Максимален бал | ||||||||
| Български език и литература (БЕЛ) | 100 | |||||||
| Математика (МАТ) | 100 | |||||||
| Училище | Код по Админ | БЕЛ | МАТ | ОБЩО | ||||
| Явили се | Ср. успех в точки | Явили се | Ср. успех в точки | Средно: | Оценка | |||
| 1 | "Софийска математическа гимназия ""Паисий Хилендарски""" | 2 216 306 | 158 | 90.63 | 157 | 97.37 | 94.0 | 5.76 |
| 2 | "Частно основно училище ""Света София"" ЕООД" | 2 202 537 | 77 | 90.64 | 77 | 93.2 | 91.9 | 5.68 |
| 3 | Първа Частна Математическа Гимназия | 2 221 563 | 72 | 87.03 | 72 | 95.3 | 91.2 | 5.65 |
| 4 | "Частно средно училище с ранно чуждоезиково обучение ""ЕСПА""" | 2 213 506 | 31 | 87.74 | 31 | 85.52 | 86.6 | 5.47 |
| 5 | "Частно средно училище ""Наука за деца""" | 2 200 024 | 16 | 85.13 | 16 | 85.48 | 85.3 | 5.41 |
| 6 | "ЧАСТНО ОСНОВНО УЧИЛИЩЕ ""ТОМАС ЕДИСЪН""" | 2 217 722 | 13 | 84.58 | 12 | 81.17 | 82.9 | 5.32 |
| 7 | "Частно средно езиково училище ""Британика""" | 2 202 536 | 32 | 84.44 | 32 | 74.39 | 79.4 | 5.18 |
| 8 | "Частно основно училище "" Св. Климент Охридски """ | 2 205 521 | 18 | 80.89 | 18 | 77.06 | 79.0 | 5.16 |
| 9 | "Частно основно училище ""Д-р Петър Берон""" | 2 211 518 | 32 | 83.63 | 31 | 73.83 | 78.8 | 5.15 |
| 10 | "Частно средно училище с немски език ""Веда""" | 2 204 549 | 23 | 84.74 | 23 | 69.21 | 77.0 | 5.08 |
| 11 | "107. основно училище ""Хан Крум""" | 2 211 107 | 104 | 80.06 | 104 | 71.18 | 75.6 | 5.02 |
| 12 | "145 Основно училище "" Симеон Радев """ | 2 213 145 | 124 | 80.27 | 124 | 69.73 | 75.0 | 5.00 |
| 13 | Национална гимназия за древни езици и култури Константин Кирил Философ | 2 902 702 | 97 | 86.64 | 97 | 61.16 | 73.9 | 4.96 |
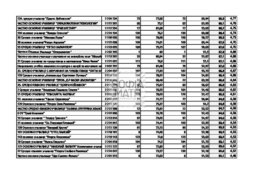
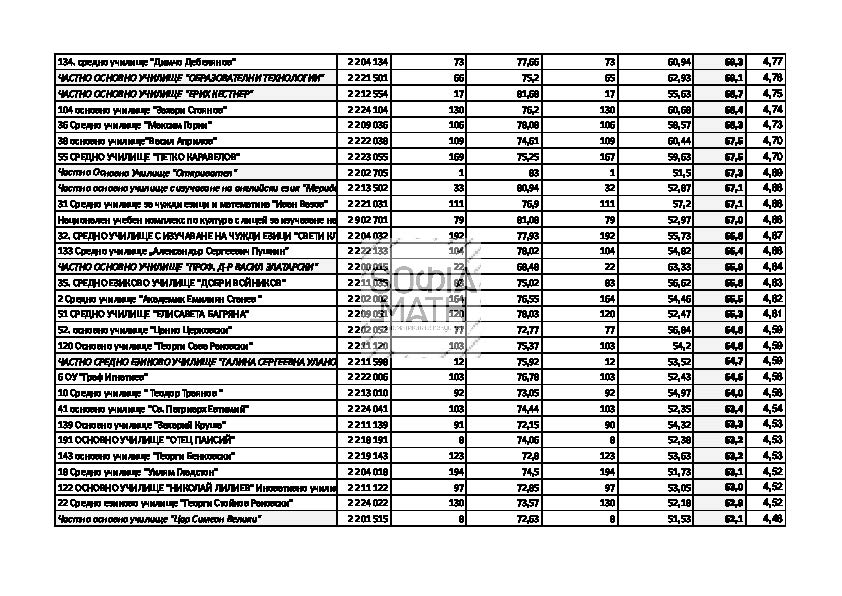
| 14 | Частно основно училище Азбуки | 2 213 721 | 50 | 79.07 | 49 | 67.61 | 73.4 | 4.94 |
| 15 | "125 СУ ""Боян Пенев"" с изучаване на чужди езици" | 2 213 125 | 203 | 81.4 | 203 | 65.13 | 73.3 | 4.93 |
| 16 | "20. Oсновно училище ""Тодор Минков"" с ранно чуждоезиково обучение по френски и немски език" | 2 224 020 | 106 | 81.87 | 106 | 64.16 | 73.0 | 4.92 |
| 17 | "Частно основно училище ""Изгрев""" | 2 218 703 | 9 | 78.33 | 9 | 66.08 | 72.2 | 4.89 |
| 18 | "Частно езиково средно училище ""Дорис Тенеди""" | 2 209 529 | 38 | 80.88 | 38 | 63.22 | 72.1 | 4.88 |
| 19 | Частно средно училище Българско школо ООД | 2 211 564 | 43 | 80.22 | 43 | 62.7 | 71.5 | 4.86 |
| 20 | "73.СУ с преподаване на чужди езици ""Владислав Граматик""" | 2 224 073 | 108 | 79.03 | 108 | 63.72 | 71.4 | 4.86 |
| 21 | "7. СРЕДНО УЧИЛИЩЕ ""СВ. СЕДМОЧИСЛЕНИЦИ""" | 2 222 007 | 125 | 77.76 | 125 | 63.58 | 70.7 | 4.83 |
| 22 | "Частно средно училище ""Петко Рачов Славейков""" | 2 212 553 | 22 | 77.73 | 22 | 62.23 | 70.0 | 4.80 |
| 23 | "Частно средно училище с чуждоезиков профил ""Абрахам Линкълн""" | 2 213 600 | 10 | 76.7 | 10 | 62.68 | 69.7 | 4.79 |
| 24 | "134. средно училище ""Димчо Дебелянов""" | 2 204 134 | 73 | 77.66 | 73 | 60.94 | 69.3 | 4.77 |
| 25 | "ЧАСТНО ОСНОВНО УЧИЛИЩЕ ""ОБРАЗОВАТЕЛНИ ТЕХНОЛОГИИ""" | 2 221 501 | 66 | 75.2 | 65 | 62.93 | 69.1 | 4.76 |
| 26 | "ЧАСТНО ОСНОВНО УЧИЛИЩЕ ""ЕРИХ КЕСТНЕР""" | 2 212 554 | 17 | 81.68 | 17 | 55.63 | 68.7 | 4.75 |
| 27 | "104 основно училище ""Захари Стоянов""" | 2 224 104 | 130 | 76.2 | 130 | 60.68 | 68.4 | 4.74 |
| 28 | "36 Средно училище ""Максим Горки""" | 2 209 036 | 106 | 78.08 | 106 | 58.57 | 68.3 | 4.73 |
| 29 | "38 основно училище""Васил Априлов""" | 2 222 038 | 109 | 74.61 | 109 | 60.44 | 67.5 | 4.70 |
| 30 | "55 СРЕДНО УЧИЛИЩЕ ""ПЕТКО КАРАВЕЛОВ""" | 2 223 055 | 169 | 75.25 | 167 | 59.63 | 67.5 | 4.70 |
| 31 | "Частно Основно Училище ""Откривател""" | 2 202 705 | 1 | 83 | 1 | 51.5 | 67.3 | 4.69 |
| 32 | "Частно основно училище с изучаване на английски език ""Меридиан 22""" | 2 213 502 | 33 | 80.94 | 32 | 52.87 | 67.1 | 4.68 |
| 33 | "31 Средно училище за чужди езици и математика ""Иван Вазов""" | 2 221 031 | 111 | 76.9 | 111 | 57.2 | 67.1 | 4.68 |
| 34 | Национален учебен комплекс по култура с лицей за изучаване на италиански език и култура с участието на Република Италия | 2 902 701 | 79 | 81.08 | 79 | 52.97 | 67.0 | 4.68 |
| 35 | "32. СРЕДНО УЧИЛИЩЕ С ИЗУЧАВАНЕ НА ЧУЖДИ ЕЗИЦИ ""СВЕТИ КЛИМЕНТ ОХРИДСКИ""" | 2 204 032 | 192 | 77.93 | 192 | 55.73 | 66.8 | 4.67 |
| 36 | 133 Средно училище „Александър Сергеевич Пушкин” | 2 222 133 | 104 | 78.02 | 104 | 54.82 | 66.4 | 4.66 |
| 37 | "ЧАСТНО ОСНОВНО УЧИЛИЩЕ ""ПРОФ. Д-Р ВАСИЛ ЗЛАТАРСКИ""" | 2 200 015 | 22 | 68.48 | 22 | 63.33 | 65.9 | 4.64 |
| 38 | "35. СРЕДНО ЕЗИКОВО УЧИЛИЩЕ ""ДОБРИ ВОЙНИКОВ""" | 2 211 035 | 83 | 75.02 | 83 | 56.62 | 65.8 | 4.63 |
| 39 | "2 Средно училище ""Академик Емилиян Станев """ | 2 202 002 | 164 | 76.55 | 164 | 54.46 | 65.5 | 4.62 |
| 40 | "51 СРЕДНО УЧИЛИЩЕ ""ЕЛИСАВЕТА БАГРЯНА""" | 2 209 051 | 120 | 78.03 | 120 | 52.47 | 65.3 | 4.61 |
| 41 | "52. основно училище ""Цанко Церковски""" | 2 202 052 | 77 | 72.77 | 77 | 56.84 | 64.8 | 4.59 |
| 42 | "120 Основно училище ""Георги Сава Раковски""" | 2 211 120 | 103 | 75.37 | 103 | 54.2 | 64.8 | 4.59 |
| 43 | "ЧАСТНО СРЕДНО ЕЗИКОВО УЧИЛИЩЕ ""ГАЛИНА СЕРГЕЕВНА УЛАНОВА""" | 2 211 598 | 12 | 75.92 | 12 | 53.52 | 64.7 | 4.59 |
| 44 | "6 ОУ ""Граф Игнатиев""" | 2 222 006 | 103 | 76.78 | 103 | 52.43 | 64.6 | 4.58 |
| 45 | "10 Средно училище "" Теодор Траянов """ | 2 213 010 | 92 | 73.05 | 92 | 54.97 | 64.0 | 4.56 |
| 46 | "41 основно училище ""Св. Патриарх Евтимий""" | 2 224 041 | 103 | 74.44 | 103 | 52.35 | 63.4 | 4.54 |
| 47 | "139 Основно училище ""Захарий Круша""" | 2 211 139 | 91 | 72.15 | 90 | 54.32 | 63.3 | 4.53 |
| 48 | "191 ОСНОВНО УЧИЛИЩЕ ""ОТЕЦ ПАИСИЙ""" | 2 218 191 | 8 | 74.06 | 8 | 52.38 | 63.2 | 4.53 |
| 49 | "143 основно училище ""Георги Бенковски""" | 2 219 143 | 123 | 72.8 | 123 | 53.63 | 63.2 | 4.53 |
| 50 | "18 Средно училище ""Уилям Гладстон""" | 2 204 018 | 194 | 74.5 | 194 | 51.73 | 63.1 | 4.52 |
| 51 | "122 ОСНОВНО УЧИЛИЩЕ ""НИКОЛАЙ ЛИЛИЕВ"" Иновативно училище с роботика и приложно програмиране" | 2 211 122 | 97 | 72.85 | 97 | 53.05 | 63.0 | 4.52 |
| 52 | "22 Средно езиково училище ""Георги Стойков Раковски""" | 2 224 022 | 130 | 73.57 | 130 | 52.18 | 62.9 | 4.51 |
| 53 | "Частно основно училище ""Цар Симеон Велики""" | 2 201 515 | 8 | 72.63 | 8 | 51.53 | 62.1 | 4.48 |
| 54 | "34 ОСНОВНО УЧИЛИЩЕ ""СТОЮ ШИШКОВ""" | 2 209 034 | 103 | 70.68 | 103 | 53.44 | 62.1 | 4.48 |
| 55 | "109 Основно училище ""Христо Смирненски""" | 2 221 109 | 79 | 74.05 | 79 | 49.78 | 61.9 | 4.48 |
| 56 | "105. СРЕДНО УЧИЛИЩЕ ""АТАНАС ДАЛЧЕВ""" | 2 205 105 | 137 | 73.73 | 137 | 49.82 | 61.8 | 4.47 |
| 57 | "25 основно училище ""Д-р Петър Берон""" | 2 209 025 | 91 | 72 | 91 | 51.38 | 61.7 | 4.47 |
| 58 | "5 Основно училище ""Иван Вазов""" | 2 202 005 | 72 | 71.44 | 72 | 51.88 | 61.7 | 4.47 |
| 59 | "Частно профилирано средно училище ""Свети Наум""" | 2 202 534 | 8 | 72.69 | 7 | 47.86 | 61.1 | 4.44 |
| 60 | ЧАСТНО ОСНОВНО УЧИЛИЩЕ ФЮЖЪН | 2 200 045 | 21 | 72.83 | 19 | 48.04 | 61.1 | 4.44 |
| 61 | "112 ОСНОВНО УЧИЛИЩЕ ""СТОЯН ЗАИМОВ""" | 2 216 112 | 136 | 73.36 | 136 | 48.28 | 60.8 | 4.43 |
| 62 | "12 Средно училище "" Цар Иван Асен II""" | 2 222 012 | 97 | 69.42 | 97 | 52.01 | 60.7 | 4.43 |
| 63 | 11 ОУ Св. Пимен Зографски | 2 205 011 | 66 | 70.08 | 65 | 51.17 | 60.7 | 4.43 |
| 64 | "19 СРЕДНО УЧИЛИЩЕ ""ЕЛИН ПЕЛИН""" | 2 209 019 | 117 | 73.4 | 117 | 47.88 | 60.6 | 4.43 |
| 65 | "138. СРЕДНО УЧИЛИЩЕ ЗА ЗАПАДНИ И ИЗТОЧНИ ЕЗИЦИ ""ПРОФ. ВАСИЛ ЗЛАТАРСКИ""" | 2 221 138 | 139 | 67.43 | 139 | 53.52 | 60.5 | 4.42 |
| 66 | "63 Основно училище ""Христо Ботев""" | 2 214 063 | 43 | 75.17 | 43 | 45.56 | 60.4 | 4.41 |
| 67 | "Частно средно училище ""Свети Георги""" | 2 202 574 | 34 | 67.69 | 34 | 53.03 | 60.4 | 4.41 |
| 68 | "163 ОСНОВНО УЧИЛИЩЕ ""ЧЕРНОРИЗЕЦ ХРАБЪР""" | 2 207 163 | 65 | 69.99 | 64 | 50.54 | 60.3 | 4.41 |
| 69 | "Частно основно училище ""Банкерче""" | 2 211 519 | 16 | 74.59 | 16 | 45.69 | 60.1 | 4.41 |
| 70 | "8. Средно училище ""Васил Левски""" | 2 223 008 | 67 | 70.06 | 67 | 48.97 | 59.5 | 4.38 |
| 71 | "Частно средно училище ""Професор Николай Райнов""" | 2 202 620 | 16 | 70.94 | 16 | 47.95 | 59.4 | 4.38 |
| 72 | "ЧСУ ""Роналд Лаудер""" | 2 200 021 | 13 | 70.96 | 13 | 47.85 | 59.4 | 4.38 |
| 73 | "142 ОСНОВНО УЧИЛИЩЕ ""ВЕСЕЛИН ХАНЧЕВ""" | 2 209 142 | 100 | 68.4 | 100 | 50.16 | 59.3 | 4.37 |
| 74 | "119 Средно училище ""Академик Михаил Арнаудов""" | 2 205 119 | 177 | 69.53 | 177 | 48.37 | 59.0 | 4.36 |
| 75 | "129 Основно Училище ""Антим -І""" | 2 216 129 | 75 | 73.14 | 75 | 44.29 | 58.7 | 4.35 |
| 76 | "121 СРЕДНО УЧИЛИЩЕ ""ГЕОРГИ ИЗМИРЛИЕВ""" | 2 224 121 | 70 | 67.24 | 70 | 50.11 | 58.7 | 4.35 |
| 77 | "126 ОСНОВНО УЧИЛИЩЕ ""Петко Юрданов Тодоров""" | 2 224 126 | 106 | 70.85 | 106 | 46.38 | 58.6 | 4.34 |
| 78 | "56. Средно училище ""Професор Константин Иречек""" | 2 212 056 | 157 | 69.24 | 157 | 47.97 | 58.6 | 4.34 |
| 79 | "23 Средно училище ""Фредерик Жолио-Кюри""" | 2 221 023 | 97 | 68.72 | 97 | 47.68 | 58.2 | 4.33 |
| 80 | "Частно средно училище ""УВЕКИНД""" | 2 216 532 | 48 | 66.03 | 45 | 49.59 | 58.1 | 4.32 |
| 81 | "61-во основно училище ""Свети Свети Кирил и Методий""" | 2 203 061 | 98 | 70.43 | 98 | 44.86 | 57.6 | 4.31 |
| 82 | "50. ОСНОВНО УЧИЛИЩЕ ""ВАСИЛ ЛЕВСКИ""" | 2 202 050 | 42 | 66.54 | 42 | 48.05 | 57.3 | 4.29 |
| 83 | "1 Средно училище ""Пенчо П. Славейков""" | 2 216 001 | 104 | 68.32 | 104 | 45.15 | 56.7 | 4.27 |
| 84 | "ЧАСТНО ОСНОВНО УЧИЛИЩЕ ""СВЕТЛИНА""" | 2 204 595 | 10 | 65.5 | 10 | 47.85 | 56.7 | 4.27 |
| 85 | "Частно основно училище ""Прогресивно образование""" | 2 224 677 | 8 | 66.38 | 8 | 46.22 | 56.3 | 4.25 |
| 86 | "НАЦИОНАЛНО СРЕДНО УЧИЛИЩЕ ""СОФИЯ""" | 2 217 151 | 122 | 68.8 | 121 | 43.65 | 56.3 | 4.25 |
| 87 | "48 ОСНОВНО УЧИЛИЩЕ ""ЙОСИФ КОВАЧЕВ""" | 2 220 048 | 53 | 69.32 | 53 | 43.17 | 56.2 | 4.25 |
| 88 | "128 СРЕДНО УЧИЛИЩЕ ""АЛБЕРТ АЙНЩАЙН""" | 2 213 128 | 103 | 68.84 | 103 | 43.29 | 56.1 | 4.24 |
| 89 | "118 Средно училище ""Академик Людмил Стоянов""" | 2 213 118 | 104 | 66.47 | 104 | 45.23 | 55.9 | 4.23 |
| 90 | "127 СРЕДНО УЧИЛИЩЕ ""Иван Николаевич Денкоглу""" | 2 222 127 | 26 | 67.5 | 26 | 44.17 | 55.8 | 4.23 |
| 91 | "Частно основно училище ""Куест""" | 2 224 672 | 10 | 63.4 | 10 | 47.43 | 55.4 | 4.22 |
| 92 | "54. СРЕДНО УЧИЛИЩЕ ""Свети ИВАН РИЛСКИ""" | 2 214 054 | 139 | 68.99 | 138 | 41.63 | 55.4 | 4.21 |
| 93 | "88. Средно училище ""Димитър Попниколов""" | 2 217 088 | 146 | 66.74 | 146 | 43.78 | 55.3 | 4.21 |
| 94 | "Частно основно училище ""Монтесори"" ЕООД" | 2 217 525 | 13 | 55.5 | 13 | 54.52 | 55.0 | 4.20 |
| 95 | "39 Средно училище ""Петър Динеков""" | 2 213 039 | 98 | 64.55 | 98 | 45.43 | 55.0 | 4.20 |
| 96 | "100 ОСНОВНО УЧИЛИЩЕ ""НАЙДЕН ГЕРОВ""" | 2 220 100 | 12 | 68.54 | 12 | 41.44 | 55.0 | 4.20 |
| 97 | "81. Средно училище ""Виктор Юго""" | 2 213 081 | 149 | 66.71 | 150 | 43.11 | 54.9 | 4.19 |
| 98 | Частно средно училище Евлоги и Христо Георгиеви ЕООД | 2 202 704 | 16 | 66.03 | 14 | 41.89 | 54.8 | 4.19 |
| 99 | "Национално музикално училище ""Любомир Пипков""" | 2 902 101 | 64 | 68.91 | 64 | 40.3 | 54.6 | 4.18 |
| 100 | "92 Основно училище ""Димитър Талев""" | 2 208 092 | 50 | 64.64 | 50 | 44.22 | 54.4 | 4.18 |
| 101 | "4. Основно училище ""Проф. Джон Атанасов""" | 2 207 004 | 112 | 66.21 | 112 | 42.46 | 54.3 | 4.17 |
| 102 | "14. средно училище ""Проф. д-р Асен Златаров""" | 2 220 014 | 54 | 68.67 | 54 | 39.83 | 54.3 | 4.17 |
| 103 | "49-то Основно училище ""Бенито Хуарес""" | 2 219 049 | 124 | 67.29 | 124 | 41.18 | 54.2 | 4.17 |
| 104 | "201 ОСНОВНО УЧИЛИЩЕ ""СВ.СВ. КИРИЛ И МЕТОДИЙ""" | 2 218 201 | 25 | 64.6 | 25 | 43.81 | 54.2 | 4.17 |
| 105 | "21 СРЕДНО УЧИЛИЩЕ ""ХРИСТО БОТЕВ""" | 2 211 021 | 51 | 65.39 | 51 | 42.9 | 54.1 | 4.17 |
| 106 | "47 Средно училище ""Христо Груев Данов""" | 2 224 047 | 61 | 64.08 | 61 | 43.41 | 53.7 | 4.15 |
| 107 | "Частно средно училище ""Дружба"" - София" | 2 203 720 | 29 | 65.07 | 29 | 42 | 53.5 | 4.14 |
| 108 | "30 СРЕДНО УЧИЛИЩЕ ""БРАТЯ МИЛАДИНОВИ""" | 2 204 030 | 75 | 68.98 | 75 | 38.08 | 53.5 | 4.14 |
| 109 | "17 СУ ""Дамян Груев""" | 2 208 017 | 78 | 64.82 | 79 | 41.73 | 53.2 | 4.13 |
| 110 | "45 основно училище ""Константин Величков""" | 2 206 045 | 101 | 65.11 | 101 | 41.28 | 53.2 | 4.13 |
| 111 | "42. Основно училище "" Хаджи Димитър""" | 2 219 042 | 103 | 61.73 | 103 | 44.51 | 53.1 | 4.12 |
| 112 | "33 основно училище ""Санкт Петербург""" | 2 212 033 | 76 | 67.6 | 76 | 38.57 | 53.1 | 4.12 |
| 113 | "64 основно училище "" Цар Симеон Велики """ | 2 202 064 | 51 | 64.45 | 51 | 41.29 | 52.9 | 4.11 |
| 114 | "40 Средно училище ""Луи Пастьор""" | 2 212 040 | 115 | 65.7 | 115 | 39.35 | 52.5 | 4.10 |
| 115 | "43. Основно училище ""Христо Смирненски""" | 2 206 043 | 93 | 65.16 | 92 | 39.61 | 52.5 | 4.10 |
| 116 | "101. СРЕДНО УЧИЛИЩЕ ""БАЧО КИРО""" | 2 214 101 | 83 | 63.66 | 83 | 39.45 | 51.6 | 4.06 |
| 117 | "44. Средно училище ""Неофит Бозвели""" | 2 219 044 | 57 | 62.54 | 56 | 39.65 | 51.2 | 4.05 |
| 118 | "16 . ОСНОВНО УЧИЛИЩЕ "" РАЙКО ЖИНЗИФОВ """ | 2 214 016 | 82 | 64.64 | 82 | 37.7 | 51.2 | 4.05 |
| 119 | "26 Средно училище ""Йордан Йовков""" | 2 202 026 | 52 | 63.38 | 52 | 38.9 | 51.1 | 4.05 |
| 120 | "83. Основно училище ""Елин Пелин""" | 2 218 083 | 34 | 61.49 | 34 | 40.35 | 50.9 | 4.04 |
| 121 | "150-то ОСНОВНО УЧИЛИЩЕ ""ЦАР СИМЕОН ПЪРВИ""" | 2 207 150 | 67 | 61.07 | 67 | 39.96 | 50.5 | 4.02 |
| 122 | "137 средно училище ""Ангел Кънчев""" | 2 212 137 | 101 | 62.19 | 101 | 38.82 | 50.5 | 4.02 |
| 123 | "144 Средно училище ""Народни будители""" | 2 213 144 | 143 | 62.56 | 143 | 38.03 | 50.3 | 4.01 |
| 124 | "72 Основно училище "" Христо Ботев """ | 2 217 072 | 21 | 60.88 | 21 | 38.79 | 49.8 | 3.99 |
| 125 | "82. основно училище ""Васил Евстатиев Априлов""" | 2 213 082 | 17 | 62.41 | 17 | 37.25 | 49.8 | 3.99 |
| 126 | "74 СУ ""ГОЦЕ ДЕЛЧЕВ""" | 2 203 074 | 78 | 62.79 | 78 | 36.32 | 49.6 | 3.98 |
| 127 | "170 Средно училище ""Васил Левски""" | 2 215 170 | 92 | 62.8 | 92 | 36.12 | 49.5 | 3.98 |
| 128 | "108 Средно училище ""Никола Беловеждов""" | 2 207 108 | 73 | 62.27 | 73 | 35.32 | 48.8 | 3.95 |
| 129 | "96 Средно училище ""Лев Николаевич Толстой""" | 2 212 096 | 107 | 61.58 | 107 | 35.51 | 48.5 | 3.94 |
| 130 | "58 Основно училище ""Сергей Румянцев""" | 2 220 058 | 55 | 64.61 | 55 | 32.07 | 48.3 | 3.93 |
| 131 | "171 ОСНОВНО УЧИЛИЩЕ ""СТОИЛ ПОПОВ""" | 2 215 171 | 43 | 63.66 | 43 | 32.93 | 48.3 | 3.93 |
| 132 | "ЧСУ ""Рьорих"" с ранно чуждоезиково обучение и разширено изучаване на музика и изобразително изкуство" | 2 202 535 | 12 | 61.38 | 12 | 35.21 | 48.3 | 3.93 |
| 133 | 176 ОУ | 2 215 176 | 20 | 60.38 | 20 | 35.64 | 48.0 | 3.92 |
| 134 | 199 Основно Училище Свети Апостол Йоан Богослов | 2 219 199 | 44 | 59.05 | 44 | 36.51 | 47.8 | 3.91 |
| 135 | "78. Средно училище ""Христо Смирненски""" | 2 201 078 | 79 | 62.3 | 79 | 32.39 | 47.3 | 3.89 |
| 136 | "53 ОСНОВНО УЧИЛИЩЕ ""НИКОЛАЙ ХРЕЛКОВ""" | 2 217 053 | 27 | 60.33 | 27 | 34.23 | 47.3 | 3.89 |
| 137 | "Частно основно училище ""Езиков свят""" | 2 204 674 | 3 | 65.5 | 3 | 28.58 | 47.0 | 3.88 |
| 138 | "Частно основно училище ""Джани РоДари"" ЕООД" | 2 221 614 | 11 | 64.64 | 11 | 29.43 | 47.0 | 3.88 |
| 139 | "79 средно училище ""Индира Ганди""" | 2 212 079 | 89 | 59.25 | 89 | 34.81 | 47.0 | 3.88 |
| 140 | "146 Основно училище ""Патриарх Евтимий""" | 2 203 146 | 27 | 60.7 | 27 | 33.18 | 46.9 | 3.88 |
| 141 | "46 Основно училище ""Константин Фотинов"" с разширено изучаване на хореография" | 2 204 046 | 27 | 56.65 | 27 | 36.87 | 46.8 | 3.87 |
| 142 | "60 ОУ ""Св.св.Кирил и Методий""" | 2 220 060 | 48 | 58.06 | 48 | 34.87 | 46.5 | 3.86 |
| 143 | "192. СРЕДНО УЧИЛИЩЕ ""ХРИСТО БОТЕВ""" | 2 218 192 | 22 | 60.64 | 22 | 32.15 | 46.4 | 3.86 |
| 144 | Национално училище за танцово изкуство | 2 902 301 | 43 | 62.31 | 43 | 29.96 | 46.1 | 3.85 |
| 145 | "156-о обединено училище ""Васил Левски""" | 2 210 156 | 23 | 58.67 | 22 | 33.03 | 46.1 | 3.85 |
| 146 | "ЧСУ по изкуства и чужди езици ""Артис""" | 2 224 544 | 12 | 63.21 | 13 | 30.06 | 46.0 | 3.84 |
| 147 | "76. Основно училище ""Уилям Сароян""" | 2 204 076 | 11 | 57.59 | 11 | 34.34 | 46.0 | 3.84 |
| 148 | "159 основно училище ""Васил Левски""" | 2 210 159 | 10 | 66.65 | 10 | 25.08 | 45.9 | 3.83 |
| 149 | "97 Средно училище ""Братя Миладинови""" | 2 212 097 | 89 | 59.29 | 89 | 32.03 | 45.7 | 3.83 |
| 150 | "200 Основно училище ""Отец Паисий""" | 2 218 200 | 19 | 57.82 | 19 | 30.29 | 44.1 | 3.76 |
| 151 | "148 ОСНОВНО УЧИЛИЩЕ ""ПРОФЕСОР Д-Р ЛЮБОМИР МИЛЕТИЧ""" | 2 221 148 | 33 | 57.88 | 33 | 30.08 | 44.0 | 3.76 |
| 152 | "149 Средно училище ,,Иван Хаджийски""" | 2 217 149 | 47 | 60.43 | 47 | 26.82 | 43.6 | 3.75 |
| 153 | "93-то Средно училище ""Александър Теодоров - Балан""" | 2 221 093 | 27 | 56.85 | 27 | 29.88 | 43.4 | 3.73 |
| 154 | "95 СУ ""Проф. Иван Шишманов""" | 2 219 095 | 64 | 54.88 | 64 | 31.73 | 43.3 | 3.73 |
| 155 | "166 Спортно училище ""Васил Левски""" | 2 219 166 | 83 | 55.47 | 81 | 30.69 | 43.2 | 3.73 |
| 156 | "71 Средно училище ""Пейо Яворов""" | 2 218 071 | 43 | 57.33 | 43 | 28.89 | 43.1 | 3.72 |
| 157 | "68. Средно училище ""Академик Никола Обрешков""" | 2 207 068 | 43 | 56.35 | 43 | 29.56 | 43.0 | 3.72 |
| 158 | "65 основно училище ""Св. Св. Кирил и Методий""" | 2 207 065 | 9 | 53.83 | 10 | 31.03 | 41.8 | 3.67 |
| 159 | "132. Средно училище ""Ваня Войнова""" | 2 209 132 | 30 | 56.52 | 30 | 26.97 | 41.7 | 3.67 |
| 160 | "15 Средно училище "" Адам Мицкевич""" | 2 214 015 | 29 | 50.17 | 26 | 31.74 | 41.5 | 3.66 |
| 161 | "175 основно училище ""Васил Левски""" | 2 203 175 | 18 | 50.83 | 18 | 31.89 | 41.4 | 3.65 |
| 162 | "131. СУ ""Климент Аркадиевич Тимирязев""" | 2 213 131 | 23 | 52.3 | 23 | 29.47 | 40.9 | 3.64 |
| 163 | "28 Средно училище ""Алеко Константинов""" | 2 208 028 | 47 | 56.36 | 47 | 24.75 | 40.6 | 3.62 |
| 164 | "85 Средно училище ""Отец Паисий""" | 2 210 085 | 23 | 50.24 | 23 | 29.6 | 39.9 | 3.60 |
| 165 | "86 Основно училище ""Св. Климент Охридски""" | 2 202 086 | 23 | 53.22 | 23 | 24.48 | 38.9 | 3.55 |
| 166 | "Частно средно училище ""Константин-Кирил Философ""" | 2 200 023 | 4 | 48.25 | 4 | 28.88 | 38.6 | 3.54 |
| 167 | "135 средно училище ""Ян Амос Коменски""" | 2 208 135 | 34 | 50.78 | 34 | 26.35 | 38.6 | 3.54 |
| 168 | "84 ОСНОВНО УЧИЛИЩЕ ""ВАСИЛ ЛЕВСКИ""" | 2 218 084 | 22 | 49.98 | 22 | 26.77 | 38.4 | 3.54 |
| 169 | "140. СРЕДНО УЧИЛИЩЕ ""ИВАН БОГОРОВ""" | 2 203 140 | 55 | 52.67 | 55 | 23.77 | 38.2 | 3.53 |
| 170 | "77 Основно училище Св. Св. Кирил и Методий""" | 2 212 077 | 25 | 52.44 | 25 | 23.98 | 38.2 | 3.53 |
| 171 | "27. Средно училище ""Акад. Георги Караславов""" | 2 212 027 | 9 | 46.61 | 9 | 29.69 | 38.2 | 3.53 |
| 172 | "115 Основно Училище ""Свети, свети Кирил и Методий""" | 2 210 115 | 13 | 47.85 | 13 | 28.44 | 38.1 | 3.53 |
| 173 | "37. Средно училище ""Райна Княгиня""" | 2 212 037 | 36 | 38.61 | 33 | 35.29 | 37.0 | 3.48 |
| 174 | "90 Средно училище ""Генерал Хосе де Сан Мартин""" | 2 212 090 | 47 | 51.18 | 47 | 22.84 | 37.0 | 3.48 |
| 175 | "202 ОСНОВНО УЧИЛИЩЕ ""ХРИСТО БОТЕВ""" | 2 218 202 | 12 | 43.88 | 12 | 29.21 | 36.5 | 3.46 |
| 176 | "102. oсновно училище"" Панайот Волов""" | 2 214 102 | 46 | 47.36 | 46 | 25.48 | 36.4 | 3.46 |
| 177 | "3. СУ ""Марин Дринов""" | 2 206 003 | 30 | 50.43 | 30 | 21.18 | 35.8 | 3.43 |
| 178 | "69 Средно училище ""Димитър Маринов""" | 2 207 069 | 29 | 45 | 29 | 24.73 | 34.9 | 3.39 |
| 179 | "62. Основно училище ""Христо Ботев""" | 2 203 062 | 24 | 50.44 | 24 | 18.84 | 34.6 | 3.39 |
| 180 | "179 Основно училище ""Васил Левски""" | 2 215 179 | 13 | 43.38 | 13 | 25.06 | 34.2 | 3.37 |
| 181 | "СПОРТНО УЧИЛИЩЕ ""ГЕН. ВЛАДИМИР СТОЙЧЕВ""" | 2 213 307 | 73 | 47.19 | 69 | 19.46 | 33.7 | 3.35 |
| 182 | 117. СУ | 2 210 117 | 31 | 44.37 | 32 | 21.46 | 32.7 | 3.31 |
| 183 | "177 Основно училище "" Св.Св.Кирил и Методий""" | 2 215 177 | 12 | 43.75 | 12 | 21.52 | 32.6 | 3.31 |
| 184 | "141 Основно училище ""Народни будители""" | 2 214 141 | 9 | 40.06 | 8 | 17.41 | 29.4 | 3.18 |
| 185 | "160 Основно училище "" Кирил и Методий""" | 2 215 160 | 17 | 40.29 | 17 | 18.29 | 29.3 | 3.17 |
| 186 | "Специално училище за ученици с увреден слух ""Проф. д-р Дечо Денев""" | 2 202 612 | 12 | 29.13 | 12 | 28.58 | 28.9 | 3.15 |
| 187 | "153 Спортно училище ""Неофит Рилски""" | 2 214 153 | 59 | 37.81 | 55 | 16.99 | 27.8 | 3.11 |
| 188 | "29. Средно училище ""Кузман Шапкарев""" | 2 220 029 | 14 | 37.11 | 14 | 18.23 | 27.7 | 3.11 |
| 189 | "57 Спортно училище ""Свети Наум Охридски""" | 2 208 057 | 57 | 34.24 | 57 | 17.92 | 26.1 | 3.04 |
| 190 | "124 ОСНОВНО УЧИЛИЩЕ ""ВАСИЛ ЛЕВСКИ""" | 2 219 124 | 5 | 30.2 | 5 | 19.1 | 24.7 | 2.99 |
| 191 | "Частно средно училище ""Орфей""" | 2 208 526 | 1 | 36 | 1 | 13 | 24.5 | 2.98 |
| 192 | "130. средно училище ""Стефан Караджа""" | 2 219 130 | 22 | 33.75 | 22 | 13.69 | 23.7 | 2.95 |
| 193 | "123 Средно училищe ""Стефан Стамболов""" | 2 208 123 | 46 | 32.77 | 47 | 14.23 | 23.4 | 2.94 |
| 194 | "172 Обединено училище ""Христо Ботев""" | 2 215 172 | 10 | 24.75 | 5 | 17.4 | 22.3 | 2.89 |
| 195 | "162 Обединено училище ""Отец Паисий""" | 2 210 162 | 40 | 26.45 | 38 | 16.18 | 21.4 | 2.86 |
| 196 | "116 Основно училище ""Паисий Хилендарски""" | 2 210 116 | 8 | 27.38 | 8 | 14.19 | 20.8 | 2.83 |
| 197 | "89 ОУ ""Д-р Христо Стамболски""" | 2 207 089 | 16 | 22.75 | 14 | 13.41 | 18.4 | 2.74 |
| 198 | "66 Средно училище ""Филип Станиславов""" | 2 217 066 | 17 | 24.65 | 15 | 11.18 | 18.3 | 2.73 |
| 199 | "24 Средно училище ""П.К.Яворов""" | 2 219 024 | 13 | 21.85 | 13 | 13.08 | 17.5 | 2.70 |
| 200 | "106 Основно училище "" Григорий Цамблак """ | 2 219 106 | 14 | 20.21 | 13 | 13.77 | 17.1 | 2.68 |
| 201 | "147 Основно училище ""Йордан Радичков""" | 2 208 147 | 14 | 20.71 | 14 | 13.36 | 17.0 | 2.68 |
| 202 | "70-о основно училище ""Свети Климент Охридски""" | 2 203 070 | 19 | 19.92 | 17 | 12.12 | 16.2 | 2.65 |
| 203 | "67 ОСНОВНО УЧИЛИЩЕ ""ВАСИЛ ДРУМЕВ""" | 2 204 067 | 39 | 20.36 | 37 | 11.64 | 16.1 | 2.64 |
| 204 | "94 СРЕДНО УЧИЛИЩЕ ""Димитър Страшимиров""" | 2 221 094 | 54 | 21.56 | 53 | 10.56 | 16.1 | 2.64 |
| 205 | "59 ОБЕДИНЕНО УЧИЛИЩЕ ""ВАСИЛ ЛЕВСКИ""" | 2 220 059 | 32 | 20.31 | 31 | 11.75 | 16.1 | 2.64 |
| 206 | "75.Основно училище "" Тодор Каблешков """ | 2 208 075 | 68 | 14.56 | 64 | 12.47 | 13.5 | 2.54 |
| 207 | "136 ОСНОВНО УЧИЛИЩЕ ""ЛЮБЕН КАРАВЕЛОВ""" | 2 204 136 | 27 | 15.33 | 26 | 10.85 | 13.1 | 2.53 |
| 208 | "113 СУ ""САВА ФИЛАРЕТОВ""" | 2 206 113 | 14 | 12.93 | 12 | 12.33 | 12.7 | 2.51 |
| 209 | "103 Основно училище ""Васил Левски""" | 2 212 103 | 41 | 9.89 | 35 | 11.97 | 10.8 | 2.43 |
с благодарности на https://tableconvert.com/excel-to-html






